PRODUCTS
食品级壳聚糖
Food grade chitosan
壳聚糖是甲壳质或甲壳素脱去乙酰基分子基团后的物质,也称脱乙酰甲壳素、几丁聚糖、甲壳胺、壳多糖等。
壳聚糖是聚阳离子多糖类物质,食品级壳聚糖可以广泛运用在食品、保健食品、日化产品、消毒杀菌产品、敷料、生物材料、果汁蔬菜汁澄清、食品添加剂等多个领域。
壳聚糖功能作用:
食品领域:食品添加剂、果蔬汁澄清、植物饮料澄清、啤酒澄清、麦芽饮料澄清、特种营养液澄清、水果保鲜、食品抗菌保鲜等。
保健品领域:应用于保健食品直接原料、保健食品配方原料。
生物材料领域:可用于烧伤烫伤敷料、消毒杀菌产品、抗菌纱布、抗菌凝胶等。
日化领域:壳聚糖分子结构含有氨基和多个亲水性的羟基,具有吸水和保水作用,可用于护肤化妆品、固发剂、头发整理剂,洗发香波,功能性护肤品等。
环保领域:用于废水处理、重金属和放射性元素吸附、大分子物质絮凝回收、生活用水净化等。
造纸领域:用于造纸增强剂、造纸助留剂、造纸中性胶等。
烟草领域:用于烟草薄片胶粘合剂、烟草过滤嘴材料等。
纺织印染:用于纺织整理剂、印染助剂、纺织抗菌材料,壳聚糖纺织纤维等。
农业领域:用于生物肥料,可促进植物生长、提高植物抗病害抗病毒性能、提高果蔬品质等。
我们的优势
我公司具有食品生产许可证:SC20137010300211,产品符合国家食品安全质量标准。

采用深海原料生产,污染、天然、安全

我公司壳聚糖产品符合欧美、日韩等发达国家的质量标准。出口至南美、北美、欧洲、东南亚等众多国家和地区。
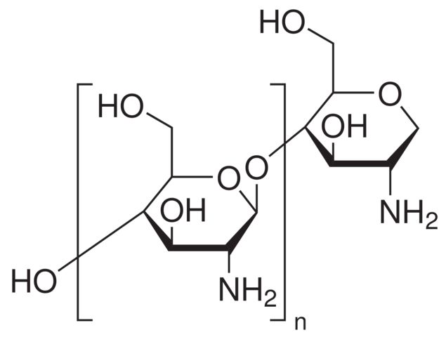
化学结构 
壳聚糖化学名:β-(1→4)-2-氨基-2-脱氧-D-葡萄糖
壳聚糖分子式: (C6H11NO4)n
壳聚糖CAS编码:9012-76-4
壳聚糖分子量:壳聚糖是混合分子量产品,每个结构单元的分子量约为161。
我公司生产的壳聚糖分子量分布指数MI为2.0-3.0,分子量范围:100k - 1500K Da. , 可根据客户需要进行控制和生产。
产成品图片
![]() |
![]() |
![]() |
质量指标
|
项目 |
食品级 壳聚糖 |
|
外观 |
类白色至浅黄色粉末 |
|
脱乙酰度 |
85%, 90%,95% |
|
粘度 |
<200;200-500;500-2000 |
|
水分 |
≤10% |
|
灰分 |
≤1% |
|
不溶物 |
≤1% |
|
铅 |
≤2ppm |
|
砷 |
≤1ppm |
|
粒度 |
80目 |
|
菌落总数 |
≤1000cfu/g |
|
酵母菌和霉菌 |
≤25cfu/g |
|
大肠菌群 |
阴性 |
包装规格:
粉末产品(80目、60目、40目、20目)
净重:25kg/桶,纸板桶直径 D=40cm, 高H=55cm
出口:包装 400kg/pallet or 600kg/pallet, 20'FCL最大装量6000kg;
片状产品: 1-5mm小片:(1mm, 2mm, 3mm, 5mm)
10-20kg/桶,或 10-20kg/编织袋
出口: 纸板桶包装 300kg/pallet, 20'FCL最大装量3000kg.
出口: 编织袋包装450kg/pallet, 20'FCL最大装量4500kg.
仓库实拍图片:


