主要产品
PRODUCTS
水溶性壳聚糖系列
首页 - 主要产品 - 水溶性壳聚糖系列

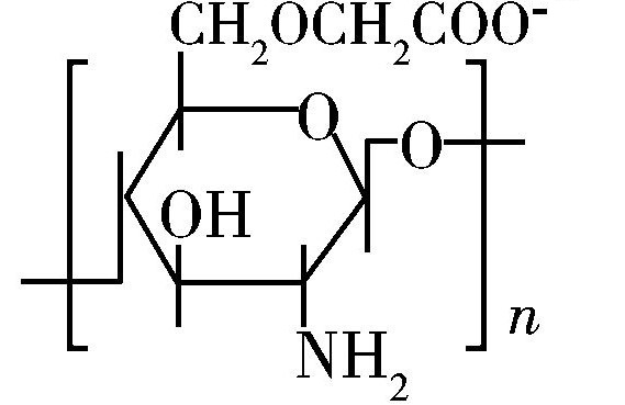
羧甲基壳聚糖


    羧甲基壳聚糖是壳聚糖的一种重要衍生物,与壳聚糖相比较而言,羧甲基壳聚糖的优点在与能在中性、弱碱性环境中溶解,性质稳定。

羧甲基壳聚糖具有优良的吸湿性和保湿性,可用于化妆品等领域。

    主要技术指标:

    外观:类白色到浅黄色粉末

    取代度:>60%

    水分<10%

    水溶性>99%

    Pb<2ppm

    As<1ppm

    包装:25kg/桶