PRODUCTS
工业级甲壳素(甲壳质)
Industrial grade chtin
甲壳质概况
甲壳质,英文Chitin,也称甲壳素、几丁质等。
甲壳质是广泛存在于自然界的一种含氮元素的多糖类生物性高分子,主要的来源于虾、蟹、昆虫等甲壳类动物的外壳与软件动物的器官(例如乌贼的软骨),以及真菌类的细胞壁等。其蕴藏量在地球上的天然高分子中占第二位,估计每年自然界生物的合成量可达 1 × 1011吨,仅次于纤维素。
甲壳质一般由虾、蟹壳提纯而成,含有少量的胺基(-NH2)与 绝大部分的乙酰基(-COCH3)。甲壳质不溶于一般的弱无机酸或有机溶剂,不溶于碱液中,只溶于强的无机酸,溶解过程会发生分子链的降解。
甲壳质类别
甲壳质根据采用的原料不同可分为优质甲壳质、工业级甲壳质等。
根据产品的实际用途不同,需要区别选择,区别使用。
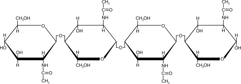
甲壳质化学名:β-(1→4)-2-乙酰氨基-2-脱氧-D-葡萄糖
甲壳质分子式: (C8H13NO5)n
甲壳质分子量:壳聚糖是混合分子量产品,单元体的分子量为203
甲壳质CAS编码:1398-61-4
甲壳质结构:

甲壳质用途
甲壳质是生产壳聚糖、氨基葡萄糖盐酸盐、氨基葡萄糖硫酸盐等产品的基本原料,甲壳质也可应用于食品、化工等领域。
技术指标
压缩包装 等待装运的原料
|
|
|
